中国银河集团

news

全球首例,这项人体临床试验证实NMN的安全性|行业研究

来源地: | 发布信息日期时间:2023-10-07 | 浏览次数:1
 

科学研究表明,细胞内烟酷胺腺瞟吟二核昔酸(NAD+)水平的下降会导致与衰老相关的疾病,而在动物模型中,增加细胞NAD的治疗方法可以预防这些疾病。同时,大量研究表明,补充NMN等NAD+前体物质,可使体内的NAD+水平上升,为细胞供能,从而减轻与衰老相关的功能障碍。

20230925164005521G


为了研究NMN对人体的安全性,2016年,日本庆应义塾大学进行NMN第一次人体临床研究,并在2019年发表了试验结果通过评估日本健康男性的临床参数及其代谢物水平来检验单次NMN给药的安全性。

图片1

NMN安全性试验_02

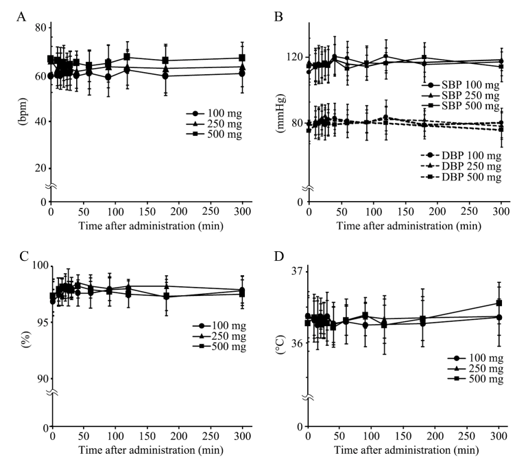
药学药学叁数方向,理论研究呈现一次口服方式NMN未因起任何的凸显的药学药学症兆或心率、血压值、血氧是处于饱和状态度和正常体温的变化规律。

图片2

【心率(A)、血压偏高(B)、血氧趋于稳定度(C)、体温表(D)】   血清技术指标这方面,调查室浅析效果显现,也可以血清胆红素技术增高及其血清肌酐、氯化物和血糖技术在降低外其他的没能显现出清晰的改变,另外这个改变做到在正常人范畴内,与NMN的残留量决定。

实验-2

【总胆红素(C)、肌酐(E)、钠和氯(F)、提子糖(G)】   口服液NMN后血浆NMN分泌物横向的的变化提示,n -甲基-2-吡啶酮-5-羧酰胺(2Py)和n -甲基-4-吡啶酮-5-羧酰胺(4Py)的血浆酸度在NMN给药后呈的用药量依赖关系症性添加,适配了受试者对NMN的的用药量依赖关系症性摄食。

图片7

【NMN的细胞代谢路线如图是(A)、2Py (B)、4Py (C)】   调查组选骨科医生检测結果无特殊性不同之处。中枢神经设备、眼袋和骨科医生参数指标的检测結果在其他用药量的NMN给药后均未凸显任意特殊性转化。

眼科参数

全方位的总结,该游戏研究方案展现,卫生男一次内服NMN超过500mg是可靠的,并经有效率代谢率是不会给予其它特别的有损后果。 阅读答案连接://pubmed.ncbi.nlm.nih.gov/31685720/

免责声明书:

本篇文章讯息均来原于公开监督数据,相应的讯息仅做分享赚钱学校,不指代所有医治建意应用及商业圈建意。请谅解商标侵权,请关联写作者删了。

本资源归本结构中国原创专利权其它,没有本结构予以许证,丝毫结构和人不难于丝毫风格反板、操作、发稿或采用。如须经本结构批准参与采用、发表的,须在本结构不能的区域内食用。

【责任编辑】

推荐资讯

关注我们
苏州中国银河集团 科技股份有限公司©版权所有

登记备案信息: