中国银河集团

news

深度解析NMN原料的流动性,科学评价方法大公开!|产品科普

渠道: | 上架期限:2024-07-05 | 浏览次数:1
.我在家庭许多人定期会吃到粉剂胶襄,二者的含水量是怎么保护高度的呢? 但其实这和冲剂中纳米银溶液原材的外流性密不可分相关。原材的外流性对货品的预包装,冲剂剂与片状等的称重差异性,及合适的制造运营体现了核心干扰。

那么,如何科学评价NMN原料的流动性?

一、休止角与流动性

休止角是质量检验粉剂外溢性真假最简单方便的措施,但各个预估措施的数据报告有一些各个,再次出现性比较,往往不把休止角充当粉剂的有一个热学常数。 休止角:(Angle of Repose,θ)阿尔法阿尔法粒子在纳米金属粉末累积层的什么是自由斜表面上划动时,当受到的静磨擦力力和阿尔法阿尔法粒子间静磨擦力力符合稳定性时出于平稳感觉,此情此景纳米金属粉末累积层的斜面与品质面的倾斜角即休止角。 一般的表示θ≤30°时,粉剂传播性好;θ≤40°时能满足需要生育环节中传播性的供需。 使用的测试办法有灌入法、代谢掉法和偏移角法等,下图如图。

微信图片_20240705130057

微信截图_20240705130106

二、 压缩度和豪斯纳比与流动性

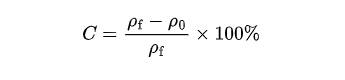
将一些量的粉体设备设备在无噪声式的条件下安装量筒后精确检测刚开始松体积太太,可以通过噪声式使粉体设备设备占据最紧感觉,精确检测终极的体积太太;测算最松孔隙率单位ρ0与最紧孔隙率单位ρf,通过公式换算测算减小度C。

微信截图_20240705130345

1.文件压缩度不大于20%时游动性比较好; 2.降低度为20%~40%时流动量能力差; 3.压缩的度多于40%时流失性超级差。 豪斯纳比反映了空间变化规律:纳米粉体松驰模式的表观空间(Vo)和振实空间(Vf)相对分子质量为豪斯纳比。

微信截图_20240705130115

NMN的流动性越好,产品越好?

流动性过强或者太差都不利于产品的应用和加工。纯净水性不佳引发的毛病是尽人皆知的,纯净水性过强会会引发下述毛病:

微信截图_20240705130700


一般情况下,休止角是测定NMN流动性较为常用的方法,其最佳范围宜控制在30°~40°之间。

迎接您就技术性要点与我国展开进一步初探

参考资料:

[1] 潘卫三,刘伟. 中和剂学. 青岛: 催化工业化的出版界社,2017.

[2] 我国药典理事会会.粉剂流失性测得命令的标准[EB/OL].(2022.12.19)[2024.07.02].[//mp.weixin.qq.com/s/QMEynsdJwzCIdBAM8qPEGA] 

免责声明:

今天讯息均原因于公开透明数据资料,重要性讯息仅做分享一下练习,不体现一些医学建立功能及商业区建立。如遇侵权案,请联系起来编辑删除文件。私自本总部书面材料许可证,一些企业和用户不有赖于一些表现形式复刻的、重命名、先生发表或引证,如取得本总部征得实现引证、发刊的,须在本总部不能的空间内采用。


【责任编辑】

推荐资讯

关注我们
苏州中国银河集团 科技股份有限公司©版权所有

备案表号: