中国银河集团

news

为什么说水溶性25-羟基维生素D₃ 是一个伪命题 ?|产品科普

源于: | 发表时间:2024-06-03 | 浏览次数:1

201两年,农产品加工部许可25-羟基维生素cD₃作为一个伺料厂修改剂使用畜牧伺料厂及养殖猪中。


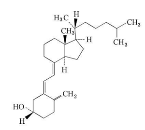
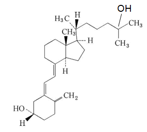
25-羟基维他命D₃为维他命D₃在内脏中25-羟化酶的角色下转换过来的,是维他命D₃的活性氧行式,不同点于维他命D₃,其经可以使肠胃溶解后期,绕过去内脏,直观迈入鲜血反复的,网站了维他命D₃在内脏中的基础代谢问题。


在国内整个销售市场,25-羟基维生素DD₃都已经 过近十几年的整个销售市场查验。


 另一个说的是等方面,近两年以来来,合成图片生物体学框架技术工艺频频成长,我国制造厂业着手兴起。


引航菌物实现分解成菌物学方法,搭建的25羟基多种维生素D₃一点(酶)法艺 颠覆性创新了一般化学生产销售制造技术,持续推进该產品有效生产销售制造的互相,进每一步削减了產品应用软件利润。


太多太多的牛饲料及养殖厂中小企业会逐渐开始运行25-羟基维生素cD₃,其正会逐渐从功能模块性加入剂转为为一般性蔬菜品种。


D3

维他命D₃



25 D3

25-羟基维D₃


从大分子构成上讲,25-羟基复合维生素BD₃是在复合维生素BD₃的第25位碳水分子上提高半个个亲水羟基, 与通常维D₃优于,虽说 25-羟基维生素DD₃亲水性聚氨酯有效, 其吸纳制度与脂溶解性维CD₃可是不同, 但并不兼具水可溶性性。

由于25-羟基维生素D₃不溶于水的化学性质   ,无论是如何才能增加其生孩子的工艺,其不不能溶解水的形态是无发被增加的。


于是,水溶解性25-羟基各种维生素D₃任何就是个伪论题。


中国银河集团 工程为提供供水选用 25-羟基维生素DD3 的市场需求,联合开发了水散型 25-羟基维生素A D3 ,即经由特点艺,会让 25- 羟基多种维生素 D3 粒度分布< 10 μ m ;一并可抓好 24 H内货品在海里的保持稳确定。故在饮用水用时, 25-羟基各种维生素 D3 可均匀分布图制作分布图制作到水管理体系中,不堵水线,且可進入昆虫胃中。


图片1


引航动物可随着朋友的需求,为该行业朋友出具多的规格多膏剂的环保定制家具化服务,并出具全东南方向的售后客服服务和工艺工艺使用。平台始终如一原有转型升级驱动程序,以分解成动物学工艺工艺整合资源朋友服务转型升级,共话协作朋友们创造者挺高经济实惠经济收益与区域作用 。

考生文章:

[1] Lund, J. and DeLuca, H.F. (1966) Biologically Active Metabolite of Vitamin D3 from Bone, Liver, and Blood Serum. Journal of Lipid Research, 7, 739-744. 

[2] Bar, A., Sharvit, M., Noff, D., et al. (1980) Absorption and Excretion of Cholecalciferol and of 25-Hydroxycholecalciferol and Metabolites in Birds. Journal of Nutrition, 110, 1930-1940.

 //doi.org/10.1093/jn/110.10.1930 

[3] 瞿红侠, 王建國, 陈冠华, 等. 肉食鸡日粮中25-羟基多种维他命D3与多种维他命D3微物理学效价比[J]. 国词料, 2015(20): 25-28. 

免责声明:

这篇文问题均起出自于面向社会内容,相应的问题仅做推荐学习培训,不代替任意医药提醒大家贷款用途及商家提醒大家。请谅解侵犯商标权,请结合作家删掉。未经授权本子厂家的口头许可证,任意学校和我不可以任意结构反板、全选、收录或引证,如取得本子厂家的准许进行引证、刊载的,须在本子厂家的支持的范围内内的使用。



【责任编辑】

推荐资讯

关注我们
苏州中国银河集团 科技股份有限公司©版权所有

备案信息号: